Selam arkadaşlar, C# Permütasyon Hesaplama, C# Kombinasyon hesaplama dersimizden sonra sıra Permütasyon hesaplamasına geldi. Bu dersimizde de permütasyon hesaplama işlemine bakacağız. C# eğitim setimin 112. dersi ile sizi baş başa bırakıyorum 😀
C# Permütasyon Hesaplama
C# Kombinasyon hesaplama dersimizde olduğu gibi bu dersimizde de önce permütasyon işlemine bir bakalım sonrada kodlarımıza geçelim.
Permütasyon, her bir sembolün sadece bir ya da bir kaç kere kullanılabildiği sırayı gözeten bir dizidir. Kombinasyonun aksine permütasyon da sıra çok önemlidir. 1 ile 10 arasında olan sayılardan oluşan n elemanlı bir küme r = 4 verirsek {1,2,3,4,5,6,7,8,9,10} elemanlarından sıralı olarak dört değişik elemanlı kümelerinin sayısını ifade eder. Daha basit bir ifade ile bir küme elemanlarının sıralanış sayısını bulmamızı sağlar.
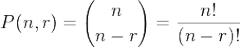
Aşağıda permütasyon hesaplamanın formülü vardır.
![]()
5 Elemenlı bir kümenin 3 lü permütasyonunun çözümüne bir bakalım.
![]()
Şimdi kodlarımız geçelim.
private void bt_permutasyon_hesapla_Click(object sender, EventArgs e)
{
Permutasyon_Hesapla();
}
int n, r, per, fakt, fakt1;
void Permutasyon_Hesapla()
{
n = Convert.ToInt32(txt_n.Text);
r = Convert.ToInt32(txt_r.Text);
fakt = n;
for (int i = n - 1; i >= 1; i--)
{
fakt = fakt * i;
}
int number;
number = n - r;
fakt1 = number;
for (int i = number - 1; i >= 1; i--)
{
fakt1 = fakt1 * i;
}
per = fakt / fakt1;
txt_sonuc.Text = per.ToString();
}
}Ekran görüntüsüne bir bakalım.

Ekran görüntüsünden de gördüğünüz gibi hesaplamamız doğru bir şekilde hesapladık.
Kombinasyon ve permüstasyon işlemlerini bu derslerimizle öğrendikten sonra bir sonraki dersimde matematiksel işlem içeren bir kaç ders daha hazırlamayı düşünüyorum.
Bu dersimiz de buraya kadar arkadaşlar. Bu derste Github projemde yerini almıştır. Aslında Kombinasyon dersi ile aynı ekrana koyacaktım ama sonradan ayrı olmasına karar verdim. Bu yüzden farklı klasörlere ekledim dersleri.
C Sharp Eğitim Seti eğitimi sayfasına gitmek için tıklayınız.
Derslerime özel olarak hazırladığım Github Projeme buradan ulaşabilirsiniz…
Sağlıcakla ve takipte kalın. 😉
(08.02.2021) Matematiksel İşlemler adlı Github projeme bağlantıya tıklayarak ulaşabilirsiniz. Bu konu ve sitemdeki diğer tüm matemetiksel işlemlere bu proje üzerinden de ulaşabileceksiniz.
