C# Kombinasyon Hesaplama, dersim ile C# eğitim setime devam ediyorum. C# eğitim setimde bu ders gibi birkaç ders daha eklemeyi düşünüyorum. Genel olarak çok fazla işimize yaramayacak olsa da elimizin altında bulunması çok da kötü bir fikir olmasa gerek. Belki bir gün işimize yarayabilir.
C# Kombinasyon Hesaplama
C# Kombinasyon hesaplama işlemine geçmeden önce Kombinasyon nedir ve nasıl hesaplanır ona bakalım.
Kombinasyon, n elemanlı bir küme elemanları ile elde edilen tüm grupların her bir tanesine kombinasyon denir. Örnek vermek gerekirse, 1,2,3,4,5 rakamlarının ikisi ile oluşturulan bir 1,5 grubu ikili bir kombinasyondur. Küme içerisinde sıralamanın herhangi bir önemi olmadığı gibi kombinasyonda da yoktur.
1,2,3,4,5 elemanlarını içeren bir kümenin ikili kombinasyonlarını da görelim.
{1,2} , {1,3} , {1,4} , {1,5} , {2,3} , {2,4} , {2,5} , {3,4} , {3,5} , {4,5}
Dikkat ettiyseniz {1,2} var iken {2,1} yazmadık. Sıranın bir önemi olmadığından ikisi de aynı küme sayılır. Bu sebeple yazılmaz.
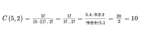
Kombinasyon hesaplama formülüne bakalım ve bir örnek çözelim.

Yukarıda verdiğimiz örneği formül üzerinden hesaplayalım

Kontrol ettiğimizde 10 cevabının doğru olduğunu görüyoruz. Bu çözüm, 5 elemanlı bir kümenin ikili kombinasyonlarının sayısını bulun, sorunun cevabıdır.
Kombinasyon’u öğrendikten sonra şimdi bu işlemin kodlarına geçelim.
private void btn_kombinasyon_hesapla_Click(object sender, EventArgs e)
{
Kombinasyon_Hesapla();
}
int n, r, kombinasyon, fakt, fakt1, fakt2;
void Kombinasyon_Hesapla()
{
n = Convert.ToInt32(txt_n.Text);
r = Convert.ToInt32(txt_r.Text);
fakt = n;
for (int i = n - 1; i >= 1; i--)
{
fakt = fakt * i;
}
fakt2 = r;
for (int i = r - 1; i >= 1; i--)
{
fakt2 = fakt2 * i;
}
int number;
number = n - r;
fakt1 = number;
for (int i = number - 1; i >= 1; i--)
{
fakt1 = fakt1 * i;
}
fakt1 = fakt2 * fakt1;
kombinasyon = fakt / fakt1;
txt_sonuc.Text = kombinasyon.ToString();
}Kombinasyon hesaplama kodlarımız bu kadar arkadaşlar. Şimdi ekran görüntüsüne bir bakalım,

Gördüğünüz gibi yukarıdaki örnekteki hesabımız ile tutuyor.
Permütasyon Hesaplama işlemine de buradan ulaşabilirsiniz.
C# Kombinasyon Hesaplama, dersimiz de bu kadar arkadaşlar. Diğer derslerimizde görüşmek üzere…
C Sharp Eğitim Seti eğitimi sayfasına gitmek için tıklayınız.
Derslerime özel olarak hazırladığım Github Projeme buradan ulaşabilirsiniz…Bu dersimde Github Projemde 12. sıra ile yerini almıştır.
(08.02.2021) Matematiksel İşlemler adlı Github projeme bağlantıya tıklayarak ulaşabilirsiniz. Bu konu ve sitemdeki diğer tüm matemetiksel işlemlere bu proje üzerinden de ulaşabileceksiniz.
Sağlıcakla ve takipte kalın. 😉
