Merhaba, Proje Seçimleri Geri Ödeme Süresi ve Net Bugünkü Değer yazım ile proje yönetimi yazılarıma devam ediyorum. Proje yönetimi özellikle yazılım geliştirme konusunda önemli ve dikkat edilmesi gereken bir konudur. Projelerin zamanında ve belirlenen bütçe içerisinde tamamlanması şirketler için başarı göstergesidir.
Proje Seçimleri Geri Ödeme Süresi ve Net Bugünkü Değer
Proje Seçimleri
İşletmelerde personeller çoğu zaman proje önerilerinde bulunmaktadır. Bu projeler arasında uyum ve aciliyet sınıfında olanlar mecburen yapılmalıdır. Örneğin bir kanun gereğince üretilen ürünün içerisinde kullanılan hammadde oranlarına kısıtlama getirildiğinde işletmenin bu kanuna uygun olacak şekilde ürünü revize etmek amacı ile bir proje başlatması gerekecektir.
Bu gibi durumlardan dolayı uyum ve aciliyet sınıfında giren projelerin yapılması elzemdir. Diğer sınıflar olan operasyonel ve stratejik sınıflarda yer alan projeler temelde kendi içlerinde finansal ve finansal olmayan kriterler olarak ikiye ayrılırlar.
İşletmeler proje değerlendirmesinde tercihlerini genellikle finansal kriterleri kullanma yönünde yaparlar. Bu kriterler de projenin çıktılarının gelecekte sağlayacakları nakit akışı ile ilişkili olduğu durumlar için uygundurlar.
Finansal olarak proje değerlendirmesinde Geri Ödeme Süresi (paranın zaman değeri dikkate alınmaz) ve Net Bugünkü Değer (NBD) yöntemleri en yaygın olarak kullanılan yöntemlerdir.
Geri Ödeme Süresi
Adından da anlaşılacağı üzere Geri Ödeme Süresi proje genelinde yapılan harcamanın geri dönüş süresini belirtir ki işletmeler bu sürenin en kısa olduğu projeleri tercih etmektedirler. Özellikle Türkiye’deki yatırımcılar projelere yatırım yaparken en çok önem verdikleri şey verdikleri paranın ne zaman geri döneceğidir.
Geri Ödeme Süresi, tahmini toplam proje harcamalarının elde edilmesi beklenen yıllık gelire bölünmesi ilke hesaplanır.
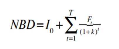
Net Bugünkü Değer
Bu yöntemde, ilk olarak gelecekte elde edilebilecek yıllık tahmini gelir ile işletme tarafından belirlenmiş olan en düşük getiri oranı üzerinden bugünkü değerine indirgenerek hesaplanır. Bu verdiğimiz hesaplamanın formülü aşağıdaki gibidir.

Yukarıda verilen eşitlikte yer alan
- l0 = projenin aldığı yatırım miktarıdır.
- Ft = t süresinde projenin getirmesi beklenen nakit
- k = belirlenmiş olan minimum gelir oranı
- T = projenin dönem sayısı
Belirlenmiş olan minimum geri dönüş oranı karşılanırsa yani NBD pozitif bir değer alırsa, proje değerlendirmeye alınabilir demektir. NBD eğer negatif bir değer çıkarsa bu proje uygulamaya alınmaz yani reddedilir.
NOT: Projeler sadece finansal geri dönüşü olanlar arasından değil, işletmenin stratejik ve gelecek plan ve hedeflerine ulaşma amacı güden gerek finansal dönüşü olan gerekse de finansla dönüşü olmayan projeler seçilmelidir. Buradaki amaç şirketin daha uzun süreler ayakta kalabilmesidir. Foti (2002) yılında yapılan bir araştırmaya göre işletmelerin büyük çoğunluğu sadece finansal geri dönüşü olan projelere ağırlık verdiğini ve bu sebeple de portföylerinde dengesizliklere yol açtığını stratejik ve gelecek plan ve hedefleri ile güçlü bir ilişki içerisinde olmadıklarını göstermiştir.
Proje Seçimleri Geri Ödeme Süresi ve Net Bugünkü Değer yazımda bu kadar arkadaşlar. Bu kategoride yazılar gelmeye devam edecektir.
Proje Yönetim Sistemleri konusundaki tüm yazılarıma ulaşmak için bağlantıya tıklayabilirsiniz. Bu yazının PDF formatına buradan veya buradan ulaşabilirsiniz.
Sağlıcakla kalın. 🙂
Discord’a katılmayı unutmayın.
